课程编号:Y2501-47
陈政蔚《八命字理婚姻应用指南》186页(部分页有面画线笔记,不响影阅读,清晰度可参下考方截图)
简介
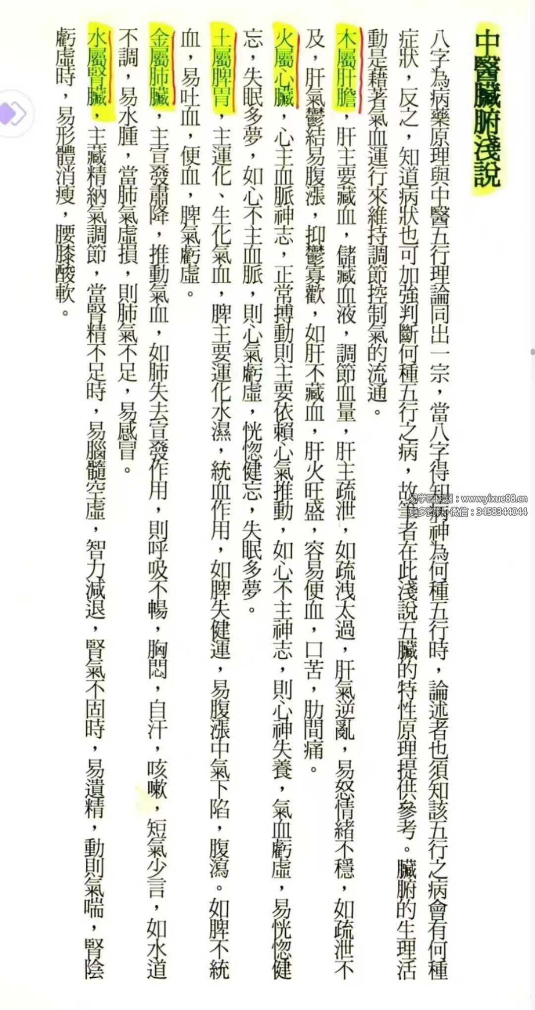
本书将八字点重由简入繁,摒不弃必要文字,将八重字点放在婚姻,分初为级、中级、高级、范四例篇。由入门础基将四柱及神煞构建完成。八字重要理论放在级中篇的各种浅论,而高级将篇健康、事业、婚姻的判断方式重以点条例列出。最后例范篇,笔者以五十真个实案例将婚姻论做述重点。且者读必将高级中篇的论婚姻、早晚婚判定、男桃女色做熟读,方能做运为用指南。
陈政蔚,1974年生,任于连世欣国际络网公司命理师、福吉命旺理咨询命理师、中华民命国理师学会命师理会员、中华民族易经研究会学会员、一级网棒络购命物理顾问

服务说明:
易学巴巴国学学习网-专业易学课程下载网站 » 陈政蔚《八字命理婚姻应用指南》186页
(1)、资源来源于网络公开发表文件,所有资料仅供学习交流;
(2)、学分仅用来维持网站运营,性质为用户友情赞助,并非购买文件费用(1元=1学分);
(3)、如遇百度网盘分享链接失效,可以联系客服,管理员都会及时处理的或将资料发送至您提交的邮箱;
(4)、在您未收到文件之前,可以联系客服微信:3458344044 进行退款;
(5)、不用担心不给资料,如果没有及时回复也不用担心,看到了都会发给您的!放心!
易学巴巴国学学习网-专业易学课程下载网站 » 陈政蔚《八字命理婚姻应用指南》186页
常见问题FAQ
- 免费下载或者VIP会员专享资源能否直接商用?
- 本站所有资源版权均属于原作者所有,这里所提供资源均只能用于参考学习用,请勿直接商用。若由于商用引起版权纠纷,一切责任均由使用者承担。
- 付款之后,如何获得资源?
- 下载链接失效了怎么办?